Der kubische Bézier-Spline verwendet Polynome 3. Grades und approximiert den Kurvenverlauf durch vier sogenannte ''Bézier-Punkte'' in jedem Intervall.
Seien vier Bézier-Punkte im Intervall gegeben, dann wird der Kurvenverlauf zwischen den Punkten und wie folgt approximiert:
![]() |
(6.83) |
mit den Lagrangeschen Polynomen 1. Ordnung :

zeigen.
![]() |
Das läßt sich leicht durch die Bildung der 1. Ableitung der Kurve zeigen:
![]() |
(6.84) |
Daraus folgt:

![]() |
(6.85) |
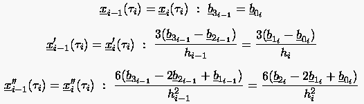
Verlangt wird hier, wie bei der kubischen Spline-Interpolation, daß die Kurve sowie ihre 1. und 2. Ableitung an den Intervallgrenzen stetig sind. Betrachten wir nun 2 Intervalle, i-1 und i:

![]() |
(6.86) |
was nichts anderes bedeutet, als daß die Punkte
und in einem bestimmten Verhältnis zum Schnittpunkt
der Verlängerungslinien von den Strecken
und
liegen müssen. Das Verhältnis hängt von der Wahl des Kurvenparameters
ab.
Bei der Bézier-Spline-Approximation werden normalerweise die Schnittpunkte , die auch Gewichtspunkte genannt werden, vorgegeben. Daraus werden zunächst die Bézier-Punkte nach der Beziehung (6.86):

![]() |
(6.87) |
Bei der offenen Kurve werden die Bézier-Punkte und mit den Gewichtspunkten und gleichgesetzt. Die Positionen von und von bestimmt man aus den Formeln (6.86) und der Vorgabe von oder . Z.B. gilt für (dies wird zusammen mit meistens für eine offene Kurve eingesetzt):


Wenn man in den Gleichungen (6.87) formal und einsetzt, ergeben sich die gleichen Formeln wie oben. Analog gilt es für mit und :

![]() |
(6.88) |
bzw.
![]() |
(6.89) |
Danach können die Punkte bzw. nach der Formel:

![]() |
(6.90) |
berechnet werden. Bei einer geschlossenen Kurve gilt obige Gleichung zusätzlich noch für : Die Positionen von bzw. werden mit der folgenden Formel bestimmt:

Der Vorteil der Bézier-Spline-Interpolation liegt zunächst darin, daß aus den gegebenen Gewichtspunkten die Bézier-Punkte für jedes Intervall direkt bestimmt werden können, womit die gesamte Approximationskurve festgelegt ist. Außerdem beeinflußt die Änderung oder das Hinzufügen von Gewichtspunkten nur wenige lokale Kurvensegmente.