Next: Fractional Step Method
Up: Approximation zweidimensionaler parabolischer DGL
Previous: Approximation zweidimensionaler parabolischer DGL
Die Lösung des aus der BTCS-Approximation resultierenden
pentadiagonalen Gleichungssystems ist
sehr aufwendig. Stattdessen soll die
ADI -Methode (alternating direction implicit) verwendet werden.
Dieses Verfahren umgeht die mit direkten Verfahren verbundene
Ineffizienz durch Aufsplitten der Zeitdiskretisierung in zwei
Einzelschritte, die sich als tridiagonale Gleichungssysteme sehr
effizient lösen lassen.
Abbildung 32: Schematische Darstellung der ADI-Methode
 |
 |
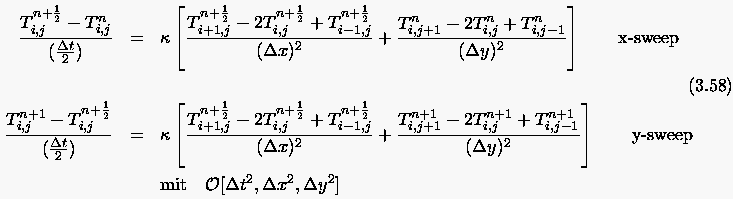
(3.58) |
Diese Gleichungen können in tridiagonaler Form mit
und
geschrieben werden als:

und

Anstelle eines pentadiagonalen Gleichungssystems wird jeder
Zeitschritt in zwei Teilzeitschritten (Sweeps) jeweils in Form
eines wesentlich günstigeren tridiagonalen Gleichungssystems
gelöst. Auf dieses Weise kann der numerische Aufwand
erheblich vermindert werden. Die zweidimensionale ADI-Methode
verhält sich dabei immer stabil.
Next: Fractional Step Method
Up: Approximation zweidimensionaler parabolischer DGL
Previous: Approximation zweidimensionaler parabolischer DGL
Benjamin Gilde
Sat Dec 16 15:24:45 CET 2000